Create a Website Account - Manage notification subscriptions, save form progress and more.
The Wayne County Planning / GIS Department maintains the County’s 911 addresses. The physical 911 addresses are utilized by the County’s 911 Office to provide dispatch of emergency services.
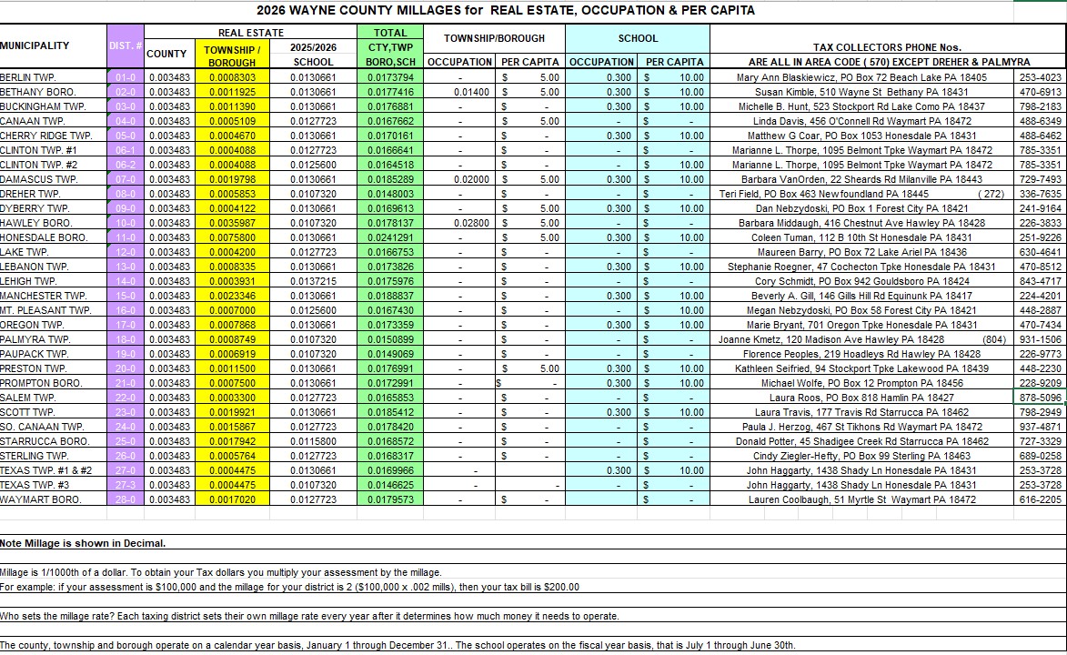
A listing of contact information, meeting dates and lists of officials in Wayne County's 28 municipalities.